材工院先进材料分析测试中心仪器培训、预约、使用温馨提示
发布人:丛杨
发布日期:2025-12-15
材工院先进材料分析测试中心仪器培训、预约、使用温馨提示
- 关于材工院先进材料分析测试中心集中管理仪器的培训、预约和使用,目前主要通过“材料科学与工程学院仪器共享群”发布仪器培训需求和仪器使用相关事项的通知。同学们可在“仪器培训需求统计”腾讯文档(部分仪器实行定期培训,管理员会根据培训的具体情况实时更新文档中的下一次培训安排)中在线报名培训,并可根据需求联系仪器管理老师或助理管理员。
- “材料科学与工程学院仪器共享群”可通过本课题组内已入群成员邀请入群。
- TEM Talos(丛杨老师负责),原位近常压XPS (李晓霞老师负责),三级拉曼(李晓霞老师负责)以上三台仪器每个课题组都有特定的免费培训机时(见“仪器培训需求统计”腾讯文档中的具体说明)。此外XPS、三级拉曼和NMR (哈乾颖老师负责),这三台仪器可联系负责的老师随时安排培训和测试(同时进行),XPS可送样测试(不包含数据分析)。
- 大家在参加完仪器培训之后,把纸质的《培训考核授权表》交到C338丛杨老师办公室,并同时在中大大仪开放共享平台系统上提交培训申请,待老师审核通过后,便可预约使用仪器。
- 预约成功后,测试时通过预约人手机进入“304永利集团仪器共享平台”,再进入预约单,点“开门”、“开机”和“关机”等操作。
- 若仪器在使用过程中出现故障未能正常测试,请在下机之前企业微信联系丛杨老师说明原因,丛老师在审核时可以把测试费减免掉,如果测试费已经审核完,就无法再修改了。
- 每台仪器测试后的数据粘贴到局域网服务器电脑,便可到C138A数据中心拷贝,每台仪器电脑旁边的指示牌上有对应仪器局域网电脑密码,若有问题可联系哈乾颖老师。
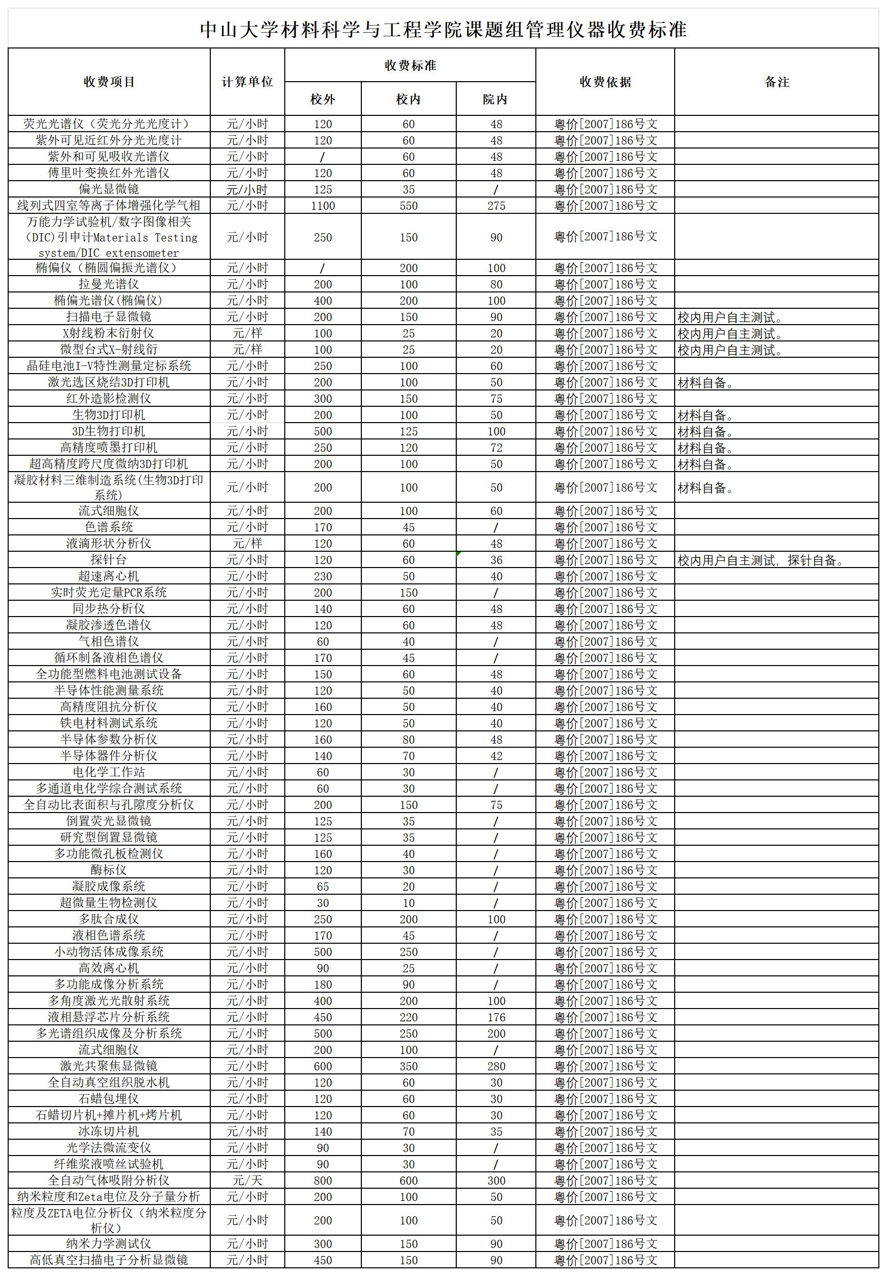
- 在材工院主页公共仪器平台 | 304永利集团材料科学与工程学院链接下,大家可以查到学院仪器的收费标准以及仪器预约、测试的具体操作指引(包括导师和学生使用指引),若有导师经费号、授权等问题可按操作指引自行解决或者咨询李晓霞老师。
- 部分仪器进行了收费调整(下调了50%),其中TEM Talos院内收费常规测试250元/小时,三级拉曼常规测试100元/小时,XPS原位150元/小时。此外,有五台仪器处于免费推广期,包括高压型差示扫描量热仪、(动态)热机械分析仪、绝热加速量热仪测试系统和RuboSORP重量法高压气体吸附仪。每台仪器收费标准见下表。




