304永利集团高海洋教授课题组在钯催化苯乙烯与一氧化碳交替共聚研究领域取得新进展

发布人:网站管理员

       聚酮作为一种工程材料,由于其独特性能与功能化潜力而具有广泛的应用前景。通过金属催化剂催化来源丰富的烯烃单体和一氧化碳(CO)共聚是合成聚酮材料最有效的方式。双膦[P,P]钯催化剂能够高效催化烷基烯烃(如乙烯、丙烯)与一氧化碳(CO)共聚,然而它催化芳基烯烃(如苯乙烯)/CO共聚的活性效率很低。相反,[N,N]型的钯催化剂能够高效催化芳基烯烃/CO交替共聚,制备得到不同立构规整度的交替聚酮材料。作为一类代表性的[N,N]型钯催化剂体系,α-二亚胺钯催化剂的设计当前主要集中于配体芳胺上的位阻和电子效应。配体芳胺上大的邻位取代基由于与苯乙烯类单体的空间排斥作用,通常会降低催化剂的活性;小邻位取代基尽管有利于苯乙烯类单体的配位插入,但是催化剂的稳定性会降低,同时容易发生链转移反应而降低产物分子量。因此设计合成高效催化苯乙烯/CO共聚的α-二亚胺钯催化剂体系极具挑战性。

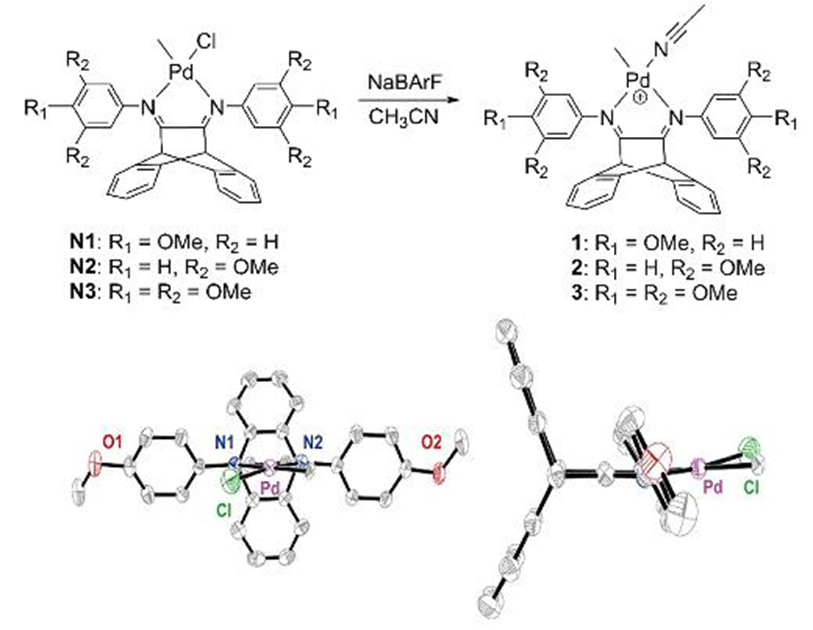
       304永利集团高海洋教授课题组在α-二亚胺镍钯烯烃聚合催化剂设计上创新性地提出了配体骨架效应(ACS Catalysis 2018, 8, 1104-1113; Macromolecules 2017, 50, 5661-5669; Macromolecules 2017, 50, 2675-2682; Macromolecules 2014, 47, 3325-3331),在此研究基础上进一步把α-二亚胺配体的骨架效应拓展到钯催化苯乙烯/CO共聚,开发出了一类新型的大位阻骨架的阳离子化钯催化剂(图1)。通过在α-二亚胺配体引入大位阻的二苯并桶烯骨架,结合在配体芳胺的间/对位引入给电子甲氧基,提高了钯催化剂的位阻和稳定性;而配体芳胺的邻位缺乏取代基,则提高了催化剂的催化活性。通过此设计策略,有效解决了上述α-二亚胺钯催化剂的设计难题,极大地提高了钯催化苯乙烯/CO共聚效率。

                                          

image 561

                                                             图1. 二苯并桶烯骨架的α-二亚胺钯配合物

       研究结果显示,该类大位阻骨架α-二亚胺钯催化剂能够高效催化苯乙烯/CO交替共聚,其活性相比传统甲基骨架α-二亚胺钯催化剂提高了约10倍。二苯并桶烯大位阻骨架结构的引入显著增强催化剂的热稳定性,共聚反应能够在40 °C下稳定进行而钯催化剂没有明显的分解(图2)。引入的二苯并桶烯大位阻骨架结构同时还能够有效抑制链转移反应,增加共聚的可控性;催化剂能够实现苯乙烯/CO活性交替共聚合(图3)。

                         

                                        

image 562

                                                       图2. α-二亚胺钯催化苯乙烯/CO共聚稳定性研究   

                           

image 563

 

                                                           图3. 活性共聚转化率与分子量关系以及产物GPC曲线

       另外,研究还发现并证实了一种新型的π-π堆积效应作用于催化配位聚合中。单晶结构证实钯催化剂的二苯并桶烯骨架和芳胺苯环间存在π-π堆积作用。催化苯乙烯/CO的共聚结果发现,π-π堆积作用有效提升了催化剂性能与产物规整度控制(图4)。在此基础上,高海洋教授课题组进一步提出了催化剂骨架-芳胺苯环-苯乙烯单体π-π堆积效应机理,这种π-π效应促进了单体与金属中心的配位结合,并提高单体配位的对映选择性,从而影响聚合产物的立构规整性。

                                         

image 564

                                       图4. 二苯并桶烯骨架钯催化苯乙烯/CO共聚中π-π堆积效应示意图

       上述研究成果以“Enhancement on Alternating Copolymerization of Carbon Monoxide and Styrene by Dibenzobarrelene-Based α-Diimine Palladium Catalysts”为题发表在Macromolecules 2018, 51, 9110-9121(DOI:10.1021/acs.macromol.8b01786)上。论文的第一作者为304永利集团材料科学与工程学院博士研究生肖泽帆,通讯作者为304永利集团高海洋教授。

 

论文链接:

https://pubs.acs.org/doi/pdf/10.1021/acs.macromol.8b01786